Koliko koronavirus opstaje na materijalima u našem okruženju
Saznajte kako se ponaša plastika, staklo i karton, a kako nerđajući čelik, alumijum ili bakar kada na njega padne zarazni virus Covid-19.
Pandemija koronavirusa potpuno je zaustavila planetu i izazvala je ogromne posledice na naš svakodnevni rad i život. U momentu kada je situacija vrlo teška, u ponekim zemljama dramatična, ne bi bilo loše znati na koji se način virus ponaša i kako se on može izbeći.
Dobro je poznato da je Covid-19 respiratorna bolest koja se prenosi vazdušnim putem. Ono zbog čega je ovaj virus posebno opasan jeste njegova visoka stopa zaraze, jer on ima mogućnost da opstane van ljudskog tela – u vazduhu, na metalu, staklu, plastici… Ukoliko se ove površine dobro ne dezinfikuju, zaraza se može proširiti. Postavlja se pitanje koliko tačno koronavirus opstaje na površinama koje su u našem okruženju.
Kada kapljice završe na površinama, virus se ponaša različito u zavisnosti od materijala na koji je pao.
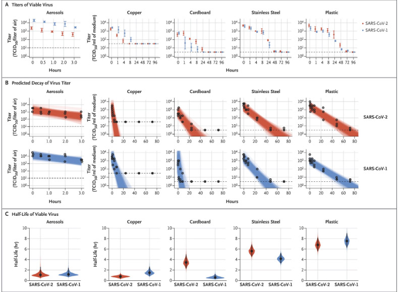
Dokazano je transmisija s čoveka na čoveka ima inkubaciju koja traje 2 do 10 dana i da se prenosi preko vazdušnih kapljica. Ove kapljice se oslobađaju kašljanjem, kijanjem ili preko ruku koje se kontaminiraju dodirivanjem zagađenih površina. Koliko se ova bolest može lako proširiti govori podatak da se jednim kašljem može osloboditi 3.000 kapljica, a da, prema studijama virusologa u SAD, virus može da preživi u vazduhu do 3 sata nakon izbacivanja iz ljudskog tela. Kada kapljice završe na površinama, kao što su zidovi, odeća, nameštaj ili drugi predmete, virus se ponaša različito u zavisnosti od materijala na koji je pao, piše ArchDaily.

Loša plastika i dobar bakar
Kao što se može videti u tabeli, Sars-Cov-2 (što je pravo ime za koronavirus) opstaje na plastici i nerđajućem čeliku oko 72 sata. Međutim, na bakru se virus ponaša drugačije i on može da opstane do 4 sata što ga čini najotpornijim materijalom na koronavirus. Na kartonu virus može da opstane do 24 časa, pa obratite pažnju na sve pošiljke u kartonskim pakovanjima.
Na bakru virus može da opstane do 4 sata što ga čini najotpornijim materijalom na koronavirus.
Drugo naučno istraživanje uzelo je u otpornost 22 materijala na sve vrste koronavirusa, izuzev samog Sars-Cov-2 koja je njegova najsvežija mutacija. Rezultati govore da na staklu i drvetu virus preživljava do 4 dana, dok kao aluminijumu on može da opstane samo 8 sati. S druge strane, i što je još važnije, istraživanje pokazuje da se koronavirus može lako ukloniti s površina dezinfekcionim sredstvima kao što je alkohol, 0,5% vodonik peroksid, ili izbeljivač sa 0,1% natrijum hipohloritom.
Kriza rađa nove ideje
U situacijama kao što je ova, uvek se pitamo šta struka može da uradi i kako može da prevaziđe ove probleme. U propisima za izgradnju zdravstvenih ustanova već je određeno koji se materijali i kako trebaju upotrebljavati u cilju smanjenja širenja zaraza. Ali bitno je imati na umu da prirodni i besplatni resursi, poput sunca ili vetra, mogu da učine prostore u kojima boravimo zdravijim i pasivnijim. Što se tiče materijala koji se sami dezinfikuju i ubijaju viruse, oni će verovatno vremenom doći, a zna se da se tokom kriza rađaju najbolje ideje.
Kad ste već ovde…
