Na Vračaru u planu poslovna sedmospratnica od preko 4.000 kvadrata
U Bokeljskoj ulici Marzo d.o.o. planira izgradnju ugaone zgrade sa 7 nadzemnih etaža u funkciji poslovanja i dve podzemne garaže sa po 16 parking mesta.
Pored toga što je jedna od najtraženijih lokacija za život u glavnom gradu, najmanja beogradska opština – koja zauzima površinu od 292 hektara – sve je poželjnija i kada je u pitanju razvoj poslovanja.
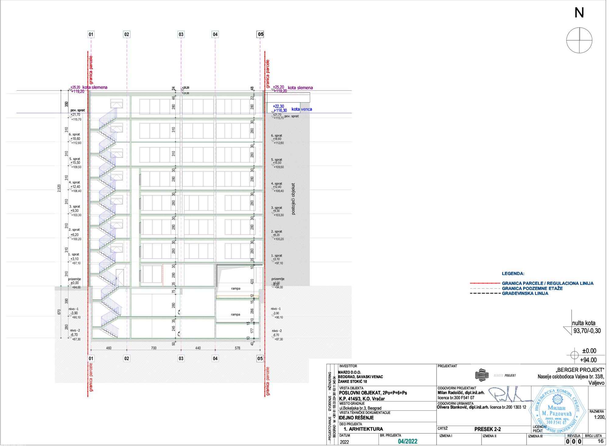
Tako je Sekretarijat za urbanizam i građevinske poslove grada Beograda oglasio javnu prezentaciju urbanističkog projekta izgradnje poslovnog objekta 2Po+P+6+Ps (2Po+P+3) u Bokeljskoj ulici broj 3 na Vračaru.
Nosilac izrade projekta je firma „Berger projekt” iz Valjeva, koja je za zahtev za potvrđivanje podnela u ime investitora – „Marzo” d.o.o. iz Beograda.
Autor i odgovorni projektant idejnog arhitektonskog rešenja je Milan Radoičić dipl.inž.arh, dok je posao odgovornog urbaniste poveren Oliveri Stanković dipl.inž.arh.
Pročitajte još na Gradnja.rs:
- Novi kvadrati na Vračaru: Planirana izgradnja zgrade sa 27 stanova
- Na Vračaru planiran stambeni objekat visokog standarda

Parcela od 887 kvadrala
Parcela se nalazi u okviru gradskog bloka oivičenog ulicama Nebojšina, Rudnička, Bulevar oslobođenja i Bokeljska.
Ukupna površina predmetne parcele iznosi 887 m2, nepravilnog je pravougaonog oblika i nalazi se u južnom delu bloka, u neposrednoj blizini saobraćajne petlje koji povezuje tri frekventne saobraćajnice – Južni bulevar i Ustaničku ulicu sa Bulevarom oslobođenja.

Idejnim rešenjem je predviđena spratnost objekata 2Po+P+6+Ps i prema dvorištu P+3.
Kako se navodi u dokumentaciji, predviđena je izgradnja poslovnog objekta koji se sastoji od dve podzemne garaže sa pratećim tehničkim prostorijama, prizemlja i 7 nadzemnih etaža koje će biti u funkciji poslovanja.
Idejnim rešenjem je predviđena spratnost objekata 2Po+P+6+Ps i prema dvorištu P+3, što se uklapa u planom definisane visine na bazi odstojanja sa susednim objektima.
Objekat će se realizovati u jednoj fazi, a njegova ukupna BGRP iznosiće 4.097 m2 – nadzemno 2.550 i podzemno 1.546 kvadrata.

Po 16 parking mesta na dva nivoa
Parkiranje je predviđeno u garaži koja je planirana na dva nivoa i sa pristupom preko dvosmerne prilazne rampe.
Na nivou etaže podruma -2 kao i na etaži podruma -1 projektovano je po 16 parking mesta.

Na javnom uvidu do 14. septembra
Zainteresovani mogu tokom prezentacije da izvrše uvid u urbanistički projekat, kao i da svoje primedbe i sugestije u pisanoj formi dostave Sekretarijatu za urbanizam i građevinske poslove, najkasnije do 14. septembra 2022. godine.
Grafički prilozi
Galerija rendera
















Ne daj Bože da naorave park na nekoj od preostalih parcela…..svaka vlast je unistavala Beograd na svoj neki način ali ova ce uciniti nepovratnu devastaciju grada potpomognuta poltronima i udruznenjima arhitekata koje nemo posmatraju sve to